Internal energy @ 305K - meV/atom - U_305#
ARFS Top features#
ARFS selected descriptors#

Correlation analysis#
Distance correlation#

Dependency graphs#

Feature learnability#

Model performance#
5-Fold CV Metrics overview#
RF - MATMINER
train_rmse |
test_rmse |
train_errors |
test_errors |
train_r2 |
test_r2 |
|
|---|---|---|---|---|---|---|
mean |
1.10228 |
3.10112 |
0.51416 |
1.45818 |
0.99592 |
0.96416 |
min |
0.9512 |
1.9772 |
0.4871 |
1.1411 |
0.9949 |
0.9168 |
max |
1.2009 |
5.5916 |
0.5279 |
2.2123 |
0.9971 |
0.9851 |
std |
0.0849173 |
1.38679 |
0.0148938 |
0.393203 |
0.000724983 |
0.0271721 |
RF - MATMINER+LOBSTER
train_rmse |
test_rmse |
train_errors |
test_errors |
train_r2 |
test_r2 |
|
|---|---|---|---|---|---|---|
mean |
1.11838 |
3.1261 |
0.51884 |
1.48044 |
0.99576 |
0.96384 |
min |
0.9565 |
2.0199 |
0.4843 |
1.1447 |
0.9945 |
0.9145 |
max |
1.2393 |
5.6675 |
0.5413 |
2.2484 |
0.997 |
0.9845 |
std |
0.101061 |
1.38621 |
0.019599 |
0.397882 |
0.000854634 |
0.0273843 |
MODNet - MATMINER
train_rmse |
test_rmse |
train_errors |
test_errors |
train_r2 |
test_r2 |
|
|---|---|---|---|---|---|---|
mean |
0.86996 |
2.02938 |
0.41634 |
0.88794 |
0.9974 |
0.98504 |
min |
0.7513 |
1.2503 |
0.3573 |
0.7657 |
0.9952 |
0.9707 |
max |
1.2165 |
2.7979 |
0.5904 |
1.0359 |
0.9982 |
0.9941 |
std |
0.176142 |
0.506548 |
0.0876599 |
0.0988839 |
0.00112606 |
0.00793161 |
MODNet - MATMINER+LOBSTER
train_rmse |
test_rmse |
train_errors |
test_errors |
train_r2 |
test_r2 |
|
|---|---|---|---|---|---|---|
mean |
0.81928 |
2.05816 |
0.3918 |
0.89606 |
0.99776 |
0.9846 |
min |
0.7639 |
1.1016 |
0.3635 |
0.6256 |
0.9971 |
0.9728 |
max |
0.9272 |
2.6942 |
0.4369 |
1.1159 |
0.9981 |
0.9954 |
std |
0.0599704 |
0.553348 |
0.0265036 |
0.178661 |
0.000355528 |
0.00767151 |
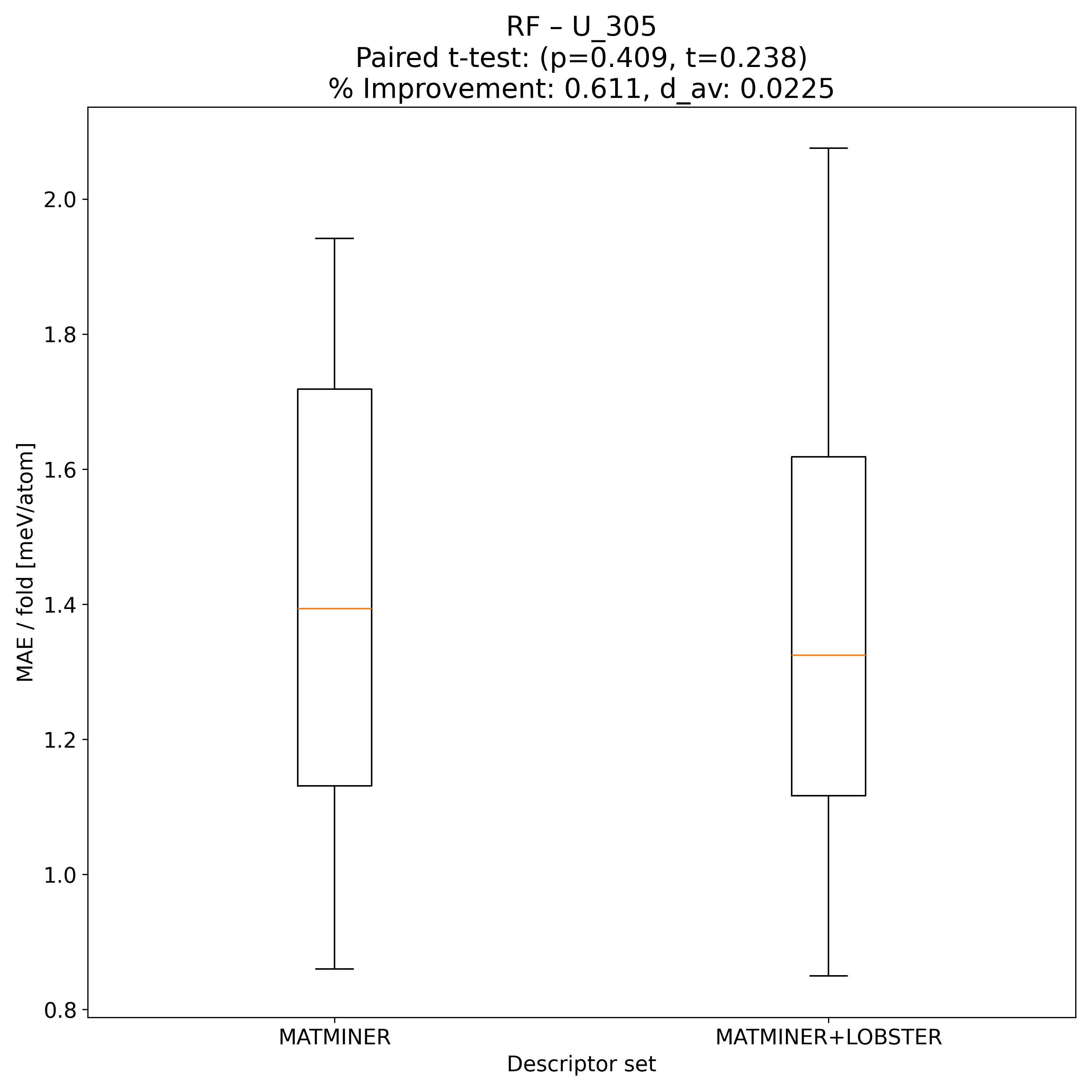
Corrected resampled t-test on 10-fold CV#
Summary
t_stat |
p_value |
significance_stars |
d_av |
rel_improvement |
percent_folds_improved |
|
|---|---|---|---|---|---|---|
RF |
0.237827 |
0.408671 |
0.0225367 |
0.611298 |
60 |
|
MODNet |
1.22826 |
0.125251 |
0.159262 |
3.9878 |
70 |


Model Explainer#
PFI#

SHAP#

Misc#
ARFS#
n-iter convergence checks

LightGBM - MATMINER+LOBSTER
train_rmse |
test_rmse |
train_errors |
test_errors |
train_r2 |
test_r2 |
|
|---|---|---|---|---|---|---|
mean |
2.31594 |
3.28425 |
0.470695 |
1.38365 |
0.981763 |
0.963333 |
min |
1.90119 |
2.36055 |
0.391969 |
1.05977 |
0.976204 |
0.939347 |
max |
2.64804 |
4.77327 |
0.581857 |
1.94797 |
0.988289 |
0.978768 |
std |
0.282809 |
0.818188 |
0.0618209 |
0.322114 |
0.00465244 |
0.0133387 |
MAE/ fold from 10-fold CV#
Alternative visual summary of input data for t-test

