Helmholtz energy @ 705K - meV/atom - H_705#
ARFS Top features#
ARFS selected descriptors#

Correlation analysis#
Distance correlation#

Dependency graphs#

Feature learnability#

Model performance#
5-Fold CV Metrics overview#
RF - MATMINER
train_rmse |
test_rmse |
train_errors |
test_errors |
train_r2 |
test_r2 |
|
|---|---|---|---|---|---|---|
mean |
6.6628 |
18.1112 |
4.91462 |
13.4184 |
0.99574 |
0.96826 |
min |
6.5445 |
16.7774 |
4.816 |
12.2073 |
0.9956 |
0.9649 |
max |
6.7686 |
19.3591 |
4.9787 |
14.3122 |
0.9959 |
0.9719 |
std |
0.0831141 |
0.968364 |
0.0610702 |
0.794522 |
0.00010198 |
0.00230877 |
RF - MATMINER+LOBSTER
train_rmse |
test_rmse |
train_errors |
test_errors |
train_r2 |
test_r2 |
|
|---|---|---|---|---|---|---|
mean |
6.622 |
18.0368 |
4.93562 |
13.447 |
0.99578 |
0.96856 |
min |
6.4909 |
16.5873 |
4.8139 |
12.1975 |
0.9956 |
0.9668 |
max |
6.7971 |
19.5815 |
5.03 |
14.4323 |
0.9959 |
0.9726 |
std |
0.115579 |
1.02301 |
0.0785848 |
0.858628 |
0.000116619 |
0.00211149 |
MODNet - MATMINER
train_rmse |
test_rmse |
train_errors |
test_errors |
train_r2 |
test_r2 |
|
|---|---|---|---|---|---|---|
mean |
3.84202 |
10.0375 |
2.62622 |
7.22558 |
0.99852 |
0.99016 |
min |
3.3672 |
8.5071 |
2.3459 |
6.3834 |
0.9975 |
0.9869 |
max |
5.0759 |
11.4619 |
3.4663 |
8.2574 |
0.9989 |
0.9928 |
std |
0.626903 |
1.11496 |
0.423513 |
0.719284 |
0.000515364 |
0.00222764 |
MODNet - MATMINER+LOBSTER
train_rmse |
test_rmse |
train_errors |
test_errors |
train_r2 |
test_r2 |
|
|---|---|---|---|---|---|---|
mean |
3.78794 |
9.9903 |
2.53938 |
7.25782 |
0.9986 |
0.9903 |
min |
3.1643 |
8.715 |
2.1522 |
6.4654 |
0.998 |
0.9888 |
max |
4.5003 |
10.7757 |
2.9598 |
7.6685 |
0.999 |
0.9924 |
std |
0.451815 |
0.732369 |
0.279269 |
0.43552 |
0.000352136 |
0.00138996 |
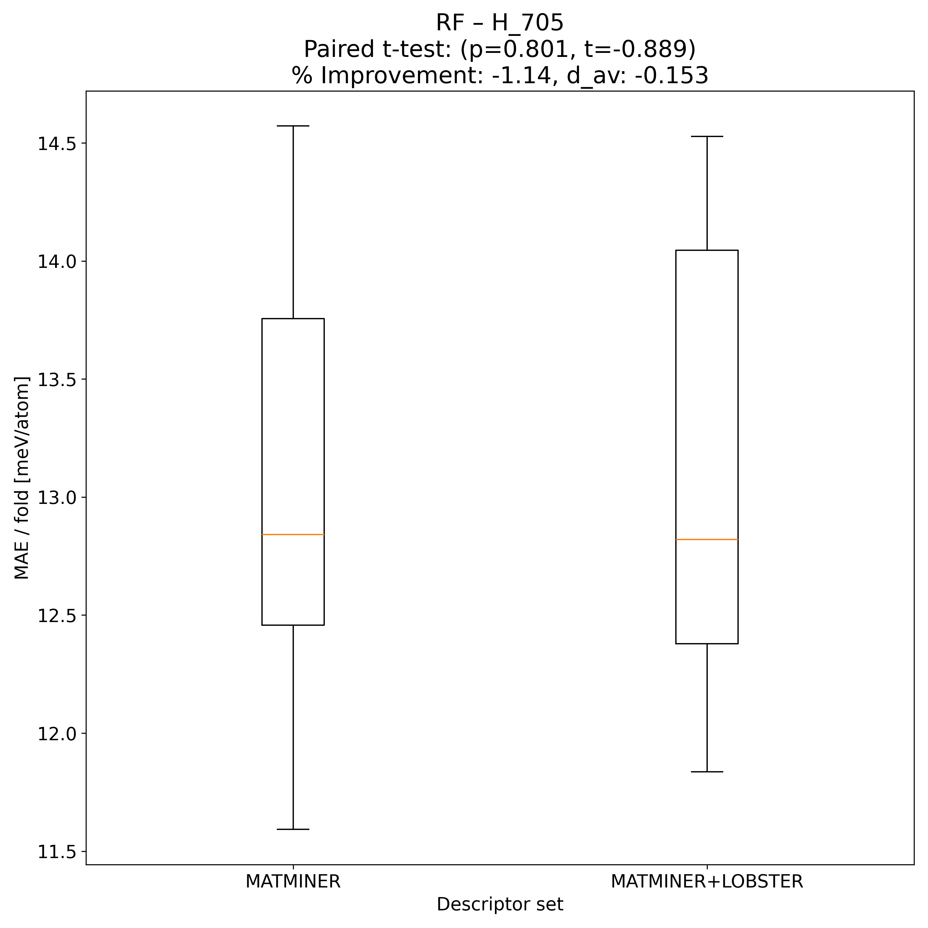
Corrected resampled t-test on 10-fold CV#
Summary
t_stat |
p_value |
significance_stars |
d_av |
rel_improvement |
percent_folds_improved |
|
|---|---|---|---|---|---|---|
RF |
-0.889042 |
0.80144 |
-0.153435 |
-1.1443 |
40 |
|
MODNet |
2.14591 |
0.0302188 |
* |
0.324657 |
3.10819 |
90 |


Model Explainer#
PFI#

SHAP#

Misc#
ARFS#
n-iter convergence checks

LightGBM - MATMINER+LOBSTER
train_rmse |
test_rmse |
train_errors |
test_errors |
train_r2 |
test_r2 |
|
|---|---|---|---|---|---|---|
mean |
6.35998 |
14.3124 |
2.33914 |
10.4407 |
0.996081 |
0.980221 |
min |
5.4255 |
13.0023 |
1.91056 |
9.42931 |
0.995261 |
0.978846 |
max |
6.8886 |
15.8469 |
2.60336 |
11.2096 |
0.997198 |
0.983136 |
std |
0.52437 |
0.982047 |
0.234608 |
0.597161 |
0.000665936 |
0.00158707 |
MAE/ fold from 10-fold CV#
Alternative visual summary of input data for t-test

